气动调节阀的阀杆行程与
调节阀的不同
流量特性之间存在一定的联系关系。因此,当我们测得调节阀的行程值后,便可以获得调节阀通过的流量值。该法曾在某一工程上实践过。
一、概述
一个已安装在流体管道上的调节阀,如果其口径和流量特性选择得正确的话,则调节阀的行程变化引起阀座与阀塞间的节流面积变化与流过流体量存在一定的关系。
这里所阐述的算法是针对调节阀行程发生变化时按不同的流量特性数学算法。某一工程实践是用人工计算出流过
阀门的物料量的。为将数据进行进一步的微处理数字化处理以代替人工计算并在现场直接显示瞬间值,对用户操作指导有利,对制造商而言也可以提高其附加值。
按开发的算法推算出的流量值可能精度不高,因它受多个条件约束和系统阻力降比S值影响,如果用户对流量精度不苛求仅作为操作指导,则该算法有实用意义。
二、调节阀工作的基本原理
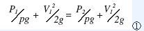
调节阀的工作,实际上是起到安装在流体管道上的一个局部阻力可变化的节流件作用。对于不可压缩的流体来说,它是遵循能量守恒定律,所以指柏努利方程(Bernolli Equation)可列出其流量方程,方程为:
如以体积流量Q来代替速度V,经过整理后,则流过调节阀的流量式为:
设C=F/

,则式②可改为
式中:F:—阀座阀塞间形成的节流面积

:阻力系数,随节流面积变化和不同结构而变;
P1 P2:调节阀前后压力;
V1 V2:调节阀前后流体流速;
p:流体密度;
g:重力加速度;
c:
流量系数。
它有英制单位和公制单位。英制单位Cv的定义为当阀门两端的压差为1Psi(磅/平方英寸)水温为16°F时,每分钟所流过的加仑数,即gpm表示。公制单位Kv定义为当阀门两端压差为1kg/cm2水温为15℃时每小时流过量,即m3/h,所以它是代表调节阀的流通能力。
从式②可知,当

不变时,流过调节阀的流体量(也即流量系数)主要取决于节流面积F和阻力系数

。F增大时,Q也增大;反之,Q也减少。F值的改变受控于控制器的输出信号,也即输入到调节阀
执行机构上的信号大小,从而改变阀杆行程而形成的。而阻力系数ξ 除受行程变化外还受不同结构形式的决定。结构形式复杂的套筒或球形的调节阀的ξ就比结构相对简易的
球阀或
蝶阀阻力大,所以相同尺寸的不同结构调节阀,流量系数Cv(或Kv)值是不相同的。
不同结构和不同口径的流量系数,通常都是由制造商提供的。影响调节阀选用的因素有很多,但是最主要的确定流量系数值。相同结构形式,不同制造商,由于其加工精度和设计不同,虽口径相同,其流量系数也不尽相同。一般来说,制造厂商所提供的流量系数值是按照阀门在正确流向下,在规定条件下所求得的基本参数。如果调节阀门反向安装,则不仅流量特性会畸变,而且流通能力也会受到变化。
用户在选择调节阀口径时,按照工艺条件计算出来的流量系数Cv(或Kv)值应该比制造厂商提供的Cv值要小些,以便留有适当的余量。但是余量不能留太大,否则口径选得过大,不仅使投资增加 ,而且在工作时会使调节阀经常处于小开度下会造成控制系统不稳定。
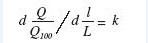
三、行程与流量的关系
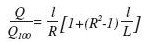
调节阀的行程变化会引起调节阀的阀座与阀塞间的节流面积(也有称流通面积)变化,从而使流体的流量改变。通常把调节阀的相对节流面积,即相对流量与相对行程之间关系称为流量特性。相对行程是指调节阀在某一开度下的行程田l与全开时的行程L之比。相对流量是指某一开度下的流量Q占全开度时的流量Q100之比。用数学表示为:Q/Q100 = f (l/L)。
调节阀的流量特性一般有固有(也有称理想)流量特性和安装流量特性。固有流量特性是指调节阀两端压降不变时,调节阀的开度和流量关系。它是由制造厂决定的。安装流量特性是指调节阀安装到管道上后的开度和流量间的关系。
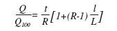
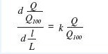
固有流量特性通常有直线、等百分比和快开(也有称两位开关式)三种。当调节阀的压降恒定时,密度p为-常数,流量Q与流量系数C成正比,即:

上式说明调节阀的固有流量特性可以用相对行程l/L和相对流量Q/Q100的关系来表示,为附图所示。

下面将三种流量特性的算法进行阐述:
1)直线流量特性算法
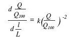
直线流量特性是指调节阀的相对流量与相对行程的关系成一直线,也就是说,调节阀的放大系数为—常数k,用数学表述为:

设边界条件为当t=0时,Q=Qmin,当阀全开l=L时,Q=Q100。解上述微分方程并代入边界条件,可得到直线特性的数学表述式为:

④
R为
调节阀可调比,即R=Q100/Qmin
在实例应用中,l值从调节阀上可读得,当然,它也可以从E/P
定位器的阀位输出信号读取。对一已选定口径的调节阀,其全行程值L、可调比R、C100数据可从制造厂提供的样本资料中获得。用C100值可通过式③反推算出Q100,瞬时值Q就可方便地从式④中求得。
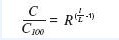
2)等百分比流量特性算法
等百分比流量特性的含义是按调节阀的阀杆向上移动(或向下移动)同样百分值时,相对流量是按等百分比增加(或减少)。例如一个可调比R为30的调节阀,当行程从20%移动到30%时,相对流量引起的变化值为40%;当行程从50%移动到60%时,相对流量引起的变化值也为40%。
等百分比流量特性的数学表达式为:

解上述微分方程并代入边界条件,可得出其数学式为:

⑤
它表明行程比与相对流量比间成对数关系。从附图中也可看到,等百分比流量特性的调节阀的放大系数是随行程增加而增大。在小流量时,流量的绝对值变化小,引起的过程变化比较缓和,而在大流量时,其绝对值在行程变化时就很大,工作灵敏,所以适用于负荷变化较大的场合。
等百分比流量特性调节阀也可用下式来表示:

⑥
3)快开流量特性算法
快开流量特性有时称为两位式开关流量特性,它是当行程变化小时,流量变化很大,并随着行程的增加,流量很快就达到接近最大值。所以此类阀门适用于快速启闭,实现两位控 制的场合。其数学式为:

解上述微分方程并代入连界条件,可得到数学表达式:

⑦
所有上述三种流量特性的数学表达式都是按理想的固有流量特性来考虑的。在实际的安装条件下,调节阀的流量特性会受系统阻力的压降比即S值的影响,尤其是S值较小时,即调节阀的压降对系统总压降比很小时,流量特性的畸变越加严重。因此,这个算法希望S值不应太小,也就是说希望调节阀的压降占整个系统压降较大的情况。
四、算法在实例中的应用
某化工厂有一吸收塔,在压力下操作未被吸收的尾气通过塔顶排向大气,塔压依靠塔顶排空管上调节阀控制。由于排空尾气中常含有成品气一起排空损失较大。工艺工程欲想了解该塔的物料平衡数以决策下一步的计划。他已有排空气体的化验分析数据,还想了解排空气体的流量,但现场空间有限流量计无法安装也无投资预算,急欲寻求一个有效方法。找到我联系后了解该调节阀是从国外引进有较完整计算资料和样本。从而找到该阀的全行程值为1bmm,直线特性,可调比R为50,Cv值为39.2,阀门结构为套筒式,口径为1.5英寸。从这些数据中,可很快了解到其相对行程比t/L=0.625,按上述介绍的直线特性算法方便的求得瞬时值,满足了工艺工程师的需求。