三偏心蝶阀是在三偏心蝶阀的基础上,使蝶板的中心偏置一定的角度,形成三偏心密封结构,从而消除了蝶阀启闭时两密封面之间的机械磨损和擦伤,减小了驱动力矩。密封面位于斜圆锥表面,阀座和密封圈的正截面均为椭圆,这正是其设计和制造的难点及关键,也是目前不能准确计算摩擦力矩的原因所在。
一、双偏心蝶阀结构分析
蝶阀的三偏心结构(图1)是在双偏心蝶阀的基础上再增加一个倾角,经过最优化设计使密封副的摩擦力进一步下降,由于采用面密封的结构使接触应力分布均匀、密封更加可靠。三偏心蝶阀的第一个偏心是指蝶板的回转中心L相对于蝶板中心在轴向存在偏心距c,第二个偏心是指蝶板的回转中心L相对于蝶板中心在径向存在偏心距e,第三个偏心是指阀座所在圆锥形的高线与阀体通道轴线有一个夹角φ,即角偏心。

图1 三偏心蝶阀结构示意
对于三偏心结构的蝶阀,由于轴向偏心距c的存在,保证了蝶阀密封面是一个完整连续的锥面,并且该密封面的几何中心容易确定,降低了密封面加工制造的难度。若密封面为正圆锥面,则由于蝶板密封面的回转半径大于阀座密封面相应部位的半径,从而在关闭时蝶板密封表面不能进入阀座,即产生“干涉”现象,而采用偏心角为φ的锥面即所谓圆锥斜切可以解决这个问题。其密封面为斜置锥形,蝶板与阀座的密封接触为面接触,依靠密封面与阀座的充分接触来达到密封效果。
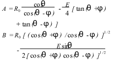
从图1得蝶板中性面椭圆的长半轴A和短半轴B分别为:

式中
A———中性面椭圆长半轴,mm
B———中性面椭圆短半轴,mm
R0———密封圆锥底半径,mm
E———蝶板厚度,mm
θ———密封圆锥半锥角,°
φ———角偏心,°
二、静力分析
当蝶板处于临界状态(即蝶板在关闭的瞬间)时,其上的作用力包括:密封面上的单位正压力N(方向垂直于密封面且为均布的空间力系)和摩擦力fN(方向沿密封表面并且阻止蝶板运动的空间力系)以及介质对蝶板的压力p(方向取决与介质流向)。而摩擦力fN与摩擦系数f有关,摩擦系数f与密封副材料、加工方法、表面光洁度和硬度、润滑状态及温度等因素有关,可以通过试验测试来确定其准确数值。

图2 蝶板受力示意
当介质为正流状态时(介质流动方向与蝶板关闭方向相同)蝶板密封面受力情况如图2所示。密封面上所受的压力N是均布力,方向垂直于密封表面,即垂直于圆锥母线与该点的切线所组成的平面,并且压力是一空间力系。由于蝶板的密封表面与阀座密封面之间有运动的趋势,且存在着相互作用力,则两密封面之间也必然存在着一定的摩擦力,其大小为fN,方向沿圆锥母线且阻止蝶板的运动。
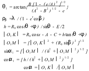
力的平衡方程以阀杆轴线为界,图3所示椭圆被分为上下两部分,根据对称性可将该椭圆分为两个区间:[0,θ1]和[θ1,π]。

图3 蝶板截面示意
通过各力在圆锥轴线方向上的投影可列出相应的力的平衡方程式,进而可求出密封面上所受的压力N:

其中

式中
p———管道中流体介质压力,MPa
f———与密封副材料有关的摩擦系数
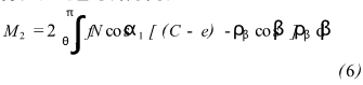
三、摩擦力矩计算
由于三偏心蝶阀密封面为圆锥的表面,密封为面接触密封,求出蝶板密封表面上的摩擦力后,再求作用于蝶板上、下两部分的摩擦力矩。在求摩擦力矩的时候,为计算方便,取蝶板中性面椭圆代替蝶板进行分析。如图4所示,首先将摩擦力进行分解,对于阀杆有力矩作用的分力,分别求出摩擦力矩,最后将各分摩擦力矩合并为总的摩擦力矩。假定摩擦力矩逆时针为正,顺时针为负。

图4 摩擦力分解示意
(1)摩擦力分力fNcosα1(图4)引起的蝶板上部分的摩擦力矩(逆时针方向):

(2)摩擦力分力fNcosα1引起的蝶板下部分的摩擦力矩(逆时针方向):

(3)摩擦力分力fNsinα1cosα(图4)引起的蝶板上部分的摩擦力矩(逆时针方向):

(4)摩擦力分力fNsinα1cosα引起的蝶板下部分的摩擦力矩(顺时针方向):

则上下两部分合摩擦力矩为:

其中

式中
C———长轴上的焦点半径,mm
λ———焦点参数,λ=B2/A
e′———椭圆离心率
四、特殊情况
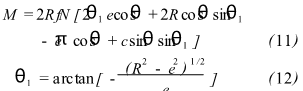
当φ=0时,阀座的内表面由斜圆锥变为正圆锥,阀座和密封圈的正截面为圆。这就是蝶阀的双偏心结构,双偏心是三偏心的特殊情况,此时密封面上所受的压力N为:

摩擦力矩M为:

式中
R———圆锥中性面圆半径,mm
五、实例分析
下面通过实例分别探讨摩擦力矩与三偏心蝶阀主要参数的关系。由于蝶板中性面椭圆的半长轴A和半短轴B均和蝶板密封面所在的圆锥半径R0有关,现给出以下参数:R0=42mm,c=5mm,e=3mm,φ=10°,E=8mm,p=1MPa,θ=10°,f=0.3。根据以上所给的参数,可以计算出三偏心蝶阀的摩擦力矩M。
分别改变径向偏心距e,轴向偏心距c以及偏心角φ的值,相应的视为已知量,由公式(9)可计算出对应的摩擦力矩,如图5~7所示。

图5 摩擦力矩与轴向偏心距c的关系曲线
六、结论
(1)三偏心蝶阀的轴向偏心距c对蝶阀的摩擦力矩影响不大,几乎成水平直线,对于一定口径,不同θ值及e值都对应一个最小的c值,否则将发生干涉。一般在设计时,由于结构和空间的问题,c的值不会很大;

图6 摩擦力矩与径向偏心距e的关系曲线

图7 摩擦力矩与偏心角φ的关系曲线
(2)对于同一口径的三偏心蝶阀,其摩擦力矩与径向偏心距e近似成正比,而其变化也很明显,在设计时应尽量减小e的值;
(3)同样对于同一口径的三偏心蝶阀,其摩擦力矩与角偏心φ近似成反比,增加偏心距有利于减小摩擦力矩,这是蝶阀三偏心结构设计的特点,一般取0≤φ≤θ。
