调节阀是输油管道中的一个组成部件,主要承担着油料输送过程中的开启、关闭、压力调节等主要功能。并且在油料传输过程中,阀门所承受的压力还随着温度、油料性质的不同而变化。但是阀门的可靠性和安全性对整个油料运输过程中均起到至关重要的作用,因此在设计阀门的过程中,必须充分考虑到传输过程中压力的动态变化、甚至包括输油管道承受到一定的挤压、变形和震动后对控制阀门的影响。为了实现这一目标,在阀门设计过程中需要将阀门材质、外壳厚度以及受力情况做综合地分析,才能得出最终的设计方案。
在传统的设计方案中阀体的强度,由于其形状的各异,受力情况不同,除了用试验应力的方法进行准确的分析外,很难得到既符合强度要求又较经济的阀体壁厚。并且,在阀门设计中,除了零件的物理结构设计之外还应包括零件的强度、刚度和变形等各种分析工作。过去由于计算方法的限制,只能根据材料力学和理论力学等学科中提供的一些经验公式进行估算,这种计算并不能全面反映结构的受力情况,也不能给设计人员指出阀门的薄弱环节和改进方向。但是,随着计算机技术和力学理论的发展,采用有限元分析方法进行结构的三维力学分析已经走向成熟,并已经在超临界设备的结构分析中得到了广泛的应用。因此,本文在设计过程中,常用的阀体强度计算公式采用一般性推导,对阀体壁厚计算则采用新的强度理论和校核方法。
一、管壁的选材
1、阀门外壁材料
材料工艺性能的好坏,会直接影响制造零件的工艺方法、质量及成本。根据使用工况,在阀门外壁材料的选用上,从导热性、热膨胀性、抗腐蚀性、工艺性能等方面考虑。
A、导热性的影响
材料传导热量的性能称为导热性,用导热系数表示。在制定焊接、铸造、锻造和热处理工艺图一中模型时,必须考虑阀门的导热性,防止材料在加热和冷却过程中形成过大的内应力而造成变形与开裂。
B、膨胀系数的影响
膨胀系数指的是材料随着温度变化而膨胀、收缩的变化程度。一般来说,管道受热时膨胀而使体积增大,冷却时收缩而使体积缩小。热膨胀性的大小用线膨胀系数列出常见金属的线膨胀系数。膨胀系数一般而言金属高与陶瓷,但低于高分子材料。
C、抗腐蚀性的影响
抗腐蚀性是指材料抵抗各种介质的侵蚀能力。非金属材料的耐蚀性远远高于金属材料。提高材料的耐蚀性,对于节约材料和延长构件使用寿命具有现实的经济意义。
D、工艺性能的影响
1)铸造性能
材料铸造成型获得优良阀体的能力称为铸造性能。衡量铸造性能的指标有流动性、收缩性和偏析等。
2)流动性
熔融材料的流动能力称为流动性。它主要受化学成分和浇注温度等影响。流动性好的材料容易充满铸腔,从而获得外形完整、尺寸精确和轮廓清晰的阀体。
3)收缩性
阀体在凝固和冷却过程中,其体积和尺寸减少的现象称为收缩性。阀体收缩不仅影响尺寸,还会使阀体产生缩孔、疏松、内应力、变形和开裂等缺陷。因此用于铸造的材料其收缩性越小越好。
4)偏析
阀体凝固后,内部化学成分和组织的不均匀现象称为偏析。偏析严重的阀体各部分的力学性能会有很大的差异,能降低产品的质量。一般来说,铸铁比钢的铸造性能好,金属材料比工程塑料的铸造性能好。
输油管道阀门的实际使用工况为介质最大工作压力0.1968Mpa,阀门最大开启压力0.18Mpa,工作温度-40℃~120℃。根据以上的分析,输油管道阀门外壁材料在满足实际工况的同时,参照GB/12229的铸造要求,选用牌号为WCA的碳素钢为阀门外壁材料,其主要的化学成分和力学性能如表1所示。
表1 主要化学成分和力学性能

二、阀门管壁厚度计算
1、阀门外壁壁厚计算
阀体壁厚在考虑介质对内部的内压外,还应该考虑阀门在关闭瞬间、阀门在装配、管道连接时所施加的外力所引起的一次加二次应力。
但是过厚的阀体断面在高温下会产生相当大的热应力,会给铸造、安装、支撑等带来相当的困难,因此,根据实际运行的经验,一般的计算公式都是借鉴受压容器或锅炉圆管的强度计算公式。


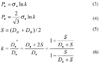
式(1)为《实用阀门设计手册》提供的阀体璧厚计算式。式(2)为《钢制压力容器》中内压圆筒的计算厚度。两式均符合第三强度理论,即塑性材料的屈服破坏理论,并由厚壁管计算公式简化推导出来的。
按照塑性材料的屈服条件,极限压力P可根据不同的假设做出计算,即Tresca屈服条件;当最大剪应力达到某一极限时,材料开始屈服,其计算公式见式(3);米赛斯屈服条件:当应力强度达到一定数值时,材料开始屈服,其计算公式见式(4)。

经过公式推导可得出

将式(7)分别代入式(3)和式(4)并除以安全系数n,即可得到式(1)和式(2)的计算式。
式中
S——理论计算壁厚,m
P、Ps——计算压力,MPa
DB——阀体中腔或支管内径,mm
[s]——材料的许用应力,Mpa
P、p——材料的极限压力,Mpa
ss——材料的屈服极限,Mpa
k——系数见式(6)
n——安全系数
DH——阀体中腔外径,mm
考虑到由于工艺系数(铸造偏差)、和腐蚀余量等因素,即可得到式(1)和式(2)的计算形式。一般在通用阀门行业均采用第三强度理论推导的式(1)计算阀体壁厚,再加上腐蚀余量。
2、输油阀门受力分析
本文采用第三强度理论,推导阀体壁厚计算公式,主要是考虑了筒体的失效问题。筒体的失效主要有三种情况。
1)弹性失效:弹性失效认为阀体内表面受压超过材料的屈服极限时,筒体就产生弹性失效,而不能再继续使用。
2)塑性失效:塑性失效认为阀体的内外表面材料都进入了永久塑性变形后失效。
3)破坏压力失效:破坏压力失效是指筒体壁遭到爆破才是真正失效,因韧性材料都具有应变硬化现象。但爆破压力不等于塑性失效。
在这三种失效类型中,破坏压力失效计算最为复杂,目前也没有成熟的可借鉴计算模型,国际上常用的压力容器失效计算公式——Faupel公式,其计算精度也仅为±10%,因此,在计算管壁厚度时没有采用该方法。而弹性失效计算过程虽然比较成熟,在实际设计中应用也较多。但是,相对使用塑性失效来计算的阀门壁厚,以第三强度理论作为对筒体强度计算的依据比较合理。因为这种计算方法,在阀体进入塑性的极限压力时,符合式(1)和式(2),计算时可以将屈服极限代入;如果要考虑蠕变疲劳变形时,也可将蠕变极限代入式(1)计算得到管壁厚度。因此,以塑性失效作为计算管壁厚度的理论基础,具有更好的准确性和灵活性。
三、有限元的应力与处理
1、三维造型
用solidworks完成阀体的三维造型,由于该阀体的物理形状、材料、载荷等都具有对称性。为了节省计算机资源,同时为了将阀体内部结构暴露出来以便于后续的加载,将研究对象沿对称面截取出来。为了缩短分析的求解时间和提高过程运行的运算速度,将一些对求解结果影响不大的,诸如铸造圆角和小的倒角等几何形状比较小的特征删掉。
2、模型分析
将solidwords中的模型导入到ANSYS中。比较导入前后的模型,模型不应发生扭曲、丢面多面等现象,确保信息的完整,为后续的分析提供可靠的分析对象。
3、单元类型与材料数据
使用ANSYS8.1软件在计算机上做三维线弹性静力分析根据阀体的结构特征、载荷类型以及分析的需要,选择砖形六面体单元solid45,此单元有8个节点每个节点3个自由度可以较好的描述问题的受力和变形情况,计算结果精度很高。
ANSYS所有的分析都要输入材料的属性。在结构分析中要输入材料的杨氏模量。由于是对阀体进行线弹性分析,给出分析模型所采用材料的弹性模量:
E=187GP,泊松比m=0.3。
4、网格划分与约束条件
使用网格工具中的Simart Size(智能分网)工具进行分网,并将划分精度定为4,系统将自动根据阀体模型的形状和尺寸,模型局部的曲率、线与线之间的距离,以及所设置的精度级别自动选择合适的网格密度进行划分。
5、载荷施加
在载荷的作用下阀体的对称面只存在X和Y方向的变形,所以选择阀体模型的对称截面,并在垂直于纸面方向的截面上施加Z方向的约束,在阀体的进出口端面上施加全约束。
根据阀体的水压试验压力,在阀体的内表面施加面压力载荷为1.5MPa的压强。
6、求解
有限元法其实就是将物体用有限个节点和单元划分成离散体,然后建立每一个单元体的有关公式,将它们在离散点处结合起来,得到整个物体的平衡方程组。求解的过程大部分是由计算机自动完成的,但也有不少需要选择和控制的地方,由于该结构属于小变形线性结构分析,所以直接使用默认求解命令进行求解。
ANSYS提供了多种显示结果的方式,如等值线图、轨迹线队列表显示,并可按1、2、3强度理论分别计算应力和应变云图,本文给出了Z轴方向的应变云图和组合应变云图,如图1、图2所示。

图1 Z轴方向上的应变云图

图2 组合应变云图
从应力和应变云图可知,在阀体内部的两法兰连接处存在最大应力和最大应变。出现最大应力的原因是由于在模型制作时,将两法兰面粘结在一起,使在该处形状变化最为剧烈、同时内壁存在着图一组合应变云图尖角的原因所形成。根据分析,阀体在正常运行条件的应力均小于对应的极限应力值,并有一定的安全裕度,说明阀体的结构强度安全,能满足设计要求。
四、结论
利用CAD技术对阀门进行设计与应力分析,可以较好地控制产品设计质量。本文采用的FEA技术进行结构的三维有限元分析,可以直观及全面地了解输油管道中阀门内部的应力分布和变形情况,使得临界阀门的设计建立在更加科学合理的基础上,也更符合设计准则中应力分析方法的设计思想。
