由于气动系统具有高功率重量比、低成本、安全可靠、无污染等传统优势,近年来得到了广泛应用。然而,另一方面,由于其工作介质空气的可压缩性大等因素,导致气动定位系统具有很强的非线性、不确定性,尤其是在缓慢运动时受到的摩擦阻力非常大,更是不能忽略,这就使得建立气动定位系统的精确数学模型非常困难。因此,气动定位系统的控制算法通常要比传统的电动机构复杂。气动伺服控制技术上的难点限制了其大范围应用。
为实现较好的控制效果,传统的气动伺服控制系统大多采用昂贵的伺服阀或比例阀作为控制元件,这使得系统的成本很高,而且伺服阀与比例阀通常体积较大,在有些场所不便于安装。本文提出了一种替代方案,使用高速开关阀取代伺服阀和比例阀,不仅有效降低了系统成本,而且实验证明,在不需要系统精确数学模型情况下,使用高速开关阀能够实现快速、精确的气动位置伺服控制。
本文首先介绍和分析了气动伺服定位系统组成,然后介绍了一种五点开关控制算法,分析了开关阀的启闭滞后现象,并提出了一种修正方法,最后给出并分析了实验结果。
一、系统介绍
本文研究的气动系统包括1个球阀:DN50;一个气动执行器:FESTO DFPA-30,行程为90º;4个高速开关电磁阀:FESTO MHE2-MS1H,响应时间少于2ms;1个电位计式角度传感器,精度为!025%;1个高分辨率多功能数据采集卡:Advantech PCL-816和1台安装软件开发平台和用户界面的工控机;另外,还有气源提供稳定的压力为5bar的压缩气体。

图1 系统结构示意图
气动执行器的每个腔室连接了两个开关阀,开关阀V1和V3从气源向执行器提供压缩气体,V2和V4把执行器内的压缩气体释放到大气中。控制开关阀适时的打开和关闭,进而控制执行器两腔充气或放气,推动活塞向外或向内移动,最后使执行器转动到设定位置。一旦执行器到达设定位置,关闭所有的开关阀,使执行器两腔封闭,执行器位置不再改变。
二、控制方法分析
1、五点开关控制算法
开关阀的控制信号采用PWM(脉宽调制)控制。开启时间Ton在脉宽周期范围内可变,占空比与开启时间的关系为:

TPWM为PWM控制信号周期。

图2 五点开关控制算法示意图
当位置偏差e较大时,为了使执行器迅速地到达设定位置,相应的控制阀应完全打开(快速区);当执行器接近设定位置时,控制阀PWM控制信号占空比随位置偏差相应改变(慢速区);为避免执行器在设定位置附近频繁的轻微振荡,当位置偏差在设定的很小范围(死区)内时,认为执行器到达设定位置,此时关闭控制阀,使执行器定位在当前位置。
PWM控制信号占空比与位置偏差的关系用公式表示为:

式中
KP为比例系数。
2、开关阀启闭滞后修正
理想情况下,开关阀在脉冲电平驱动下,阀芯能够瞬时动作,实现气流状态的快速切换。但是在实际情况中,不考虑电气信号的传输时间,由于电磁线圈的磁滞后性和阀芯惯性的原因,导致阀口启闭滞后于脉冲控制信号。开关阀启闭延迟示意图如图3所示。

图3 开关电磁阀启闭延迟示意图
图中t1为线圈的磁滞时间,t2为阀芯开启动作时间,t3为线圈的消磁时间,t4为阀芯关闭动作时间。tn=t1+t2为开关阀的开启时间,tf=t3+t4为开关阀的关闭时间。
理想情况下,开关阀的等效开口截面积A与占空比成线性关系:A=dAv,Av为阀的最大开口截面积。但在实际情况中,由于阀口的启闭滞后,阀的等效开口截面积与占空比之间是非线性关系。

图4 开关电磁阀流量特性实验曲线
图4是开关阀MHE2-MS1H在频率为50Hz PWM控制信号下测得的流量特性曲线,横轴是PWM控制信号的占空比,纵轴是开关阀的有效开口截面积与最大开口截面积的比值。
从阀的流量特性实验曲线可以看出,阀的流量特性曲线分为3部分:死区、线性区和饱和区。在死区部分,PWM高电平控制信号时间小于阀的开启时间,开关阀不能打开;在线性区,阀的有效开口截面积与占空比成线性关系;在饱和区,低电平信号时间小于关闭时间,开关阀不能关闭。
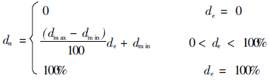
根据开关阀流量特性曲线可以得出阀的等效开口截面积与占空比之间的关系:

式中:

为开关阀控制信号最小有效占空比;

为最大有效占空比。
为避免开关阀的启闭滞后现象对系统控制效果造成的影响,应使其工作在线性区,因此需要对输出的PWM占空比加以修正,于是得到输出占空比修正公式:

式中
da为修正输出占空比,de为期望输出占空比。
三、实验测试及结果分析
实验测得MHE2-MS1H的开启时间为tn=195ms,关闭时间为tf=211ms,得到此开关阀的最小、最大有效输出占空比dmin=10%,dmax=90%。图5是在PWM控制信号周期TPWM=20ms,分别在不带占空比修正与带占空比修正时系统的阶跃响应曲线。

带占空比修正时系统阶跃响应及控制信号输出
图5 系统阶跃响应曲线
从阶跃响应曲线可以看出,输出占空比未修正时,系统的静态误差比修正后大,而且一直存在。从控制信号输出可以看出,不带占空比修正时,由于存在一定的静态误差,系统一直在输出控制信号,试图减小静态误差,但由于误差较小,通过控制算法计算后,输出信号占空比也较小,使得PWM高电平信号时间小于开关阀的开启时间,开关阀无法打开,执行器位置调整失败。带占空比修正时,如果系统存在静态误差,即使误差很小,系统也可以输出一个较大的占空比,使开关阀能够打开,从而能够调整执行器位置,有效地消除存在的较小的静态误差。
四、结论
本文研究了气体执行器位置伺服控制系统,使用了一种五点开关控制算法。由于开关阀存在启闭滞后现象,如果不对输出控制信号加以修正,系统无法消除存在的较小的静态误差。在分析了阀的启闭滞后现象后,提出了修正方法,实验证明,该修正方法可以有效地消除静态误差。本文使用高速开关阀实现了快速、精确的气动执行器位置伺服控制。
