在石油工业中
调节阀是一种使用数量多、操作使用频繁的设备。据统计,购买
阀门的费用相当于一个新建工厂投资的8%。在阀门的使用过程中,因阀门的磨损等原因会出现内外渗漏或泄漏等情况,从而引起跑油、混油等严重事故影响了石油质量,造成极大的经济损失和资源浪费。因此,
阀门泄漏的检测有着重大的现实意义。当阀门关闭时,若有泄漏其主要特征是在泄漏处形成多相湍射流,该射流不但使流体发生紊乱,而且与泄漏孔壁相互作用,在孔壁上产生高频应力波,并在阀体中传播,称之为被动声发射。用声发射传感器接触阀体外壁,接收泄漏产生的在阀体中传播的弹性波,转换成电信号,经信号放大处理后显示和监听,从而达到检测阀门泄漏的目的。声学检测具有动态、快速和经济的特点,既可以保证阀门的安全使用,又可以为维修、决策提供依据、降低更换费用。当前的理论和实践表明,利用声学检测阀门泄漏是一种行之有效的无损检测的方法。
基于声音识别的多阀门泄漏检测系统是德国新型输油泵——软管隔膜活塞泵国产化的一个子系统。软管隔膜活塞泵系统共有七路输油通道,一路原油输送工作原理如图1所示。图中No1所示位置是原油出口阀,No2是原油出口阀声音检测传感器位置;对应右下部是原油入口阀及声音检测传感器位置;No3是浆料与软管和阀门内侧相接触;No4是直线形的流通通道;No5是平隔膜的夹紧区域;No6是组合式超压
安全阀;No7是油泵在油内工作。

图1 输油泵工作示意图
图1的右边电机带动曲柄使活塞左右移动,同时带动一个凸轮机构(图中未画出)控制原油出进口阀门的开关。随着进口阀打开,出口阀的关闭,活塞从左向右移动,隔膜软管中的压力变低,原油进入软管;当活塞到达右端时,原油进口阀关闭;活塞向左端前进,到达一定路径时,凸轮机构启动原油出口阀打开,活塞继续向左前进,挤压软管隔膜将原油压出出口阀。在工作过程中,如果进出口阀出现泄漏,就会出现管道内压力不足,石油输出质量降低等一系列的问题,影响泵的工作效率,造成资料浪费和经济损失。因此,需要对泵的进出口阀进行实时监控。
一、系统设计
1、系统总体设计
系统主要由特征参数提取、HMM模型训练、模式识别和结果处理等四部分构成,如图2所示。

图2 基于声音识别的多阀门泄漏检测系统
2、特征参数提取
特征参数提取是指从阀门音频信号中提取出随时间变化的语音特征序列,提取有用的统计数据,是建立HMM模型库的关键。
Mel频率倒谱系数(Mel Frequency Cepstrum Coefficient,MFCC)主要着眼于人耳的听觉特性,利用听觉前端滤波器组模型,能很好地体现音频信号的主要信息,在语音识别、音频分类和检索领域应用十分广泛。本系统选用MFCC特征参数。MFCC是在Mel标度频率域提取出来的倒谱参数。它与频率的关系可用式(1)近似表示

式中:f为频率,单位Hz。
MFCC参数的提取过程:
(1)对音频信号进行分帧和加窗处理,对采集过程或分帧等因素所造成的数据损失予以补偿,本文中窗长30ms,帧长N为256,帧移为128点,采样频率为11025Hz,采样精度为16bit。用Hamming窗进行加窗处理,减少Jibbs效应。
(2)将预处理后的信号进行快速傅立叶变换(FFT),将时域信号转换为频域信号,再计算其模的平方得到能量谱P[i],1≤k≤N-1。
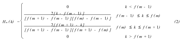
(3)设计一个具有M个带通滤波器的滤波器组,采用三角滤波器,中心频率在0~F/2按Mel频率分布;再根据Mel(f)频率与实际线性频率f的关系计算出三角带通滤波器组Hm(k)。

其中

则每个滤波器组输出的对数能量为

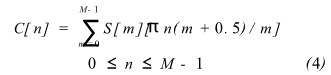
(4)对S[m]进行离散余弦变换(DCT)即得到MFCC系数。

(5)取C[1],C[2],⋯,C[V]作为MFCC参数,其中V是MFCC参数的维数,本文中取V=12。
3、隐马尔可夫模型 隐马尔可夫模型(HiddenMarkovModel,HMM)是一种时间序列统计建模工具,它能够对非平稳信号变化的规律进行统计并建立参数化模型,另外利用该模型可以方便地进行概率推理,因此它常常作为动态模式分类的工具。隐马尔可夫模型的强大之处在于观察到的事件与内在的状态间建立了一种概率模型。
HMM建模方法具有良好的抗噪性能,在交通检测系统、图像识别、语音识别以及基于震动信号的故障诊断等中都得到了较好的应用,也是目前为止最有效的语音信号识别方法。
HMM可以分为两部分,一个是Markov链,由π、A来描述,产生的输出为状态序列;另一个随机过程,由B来描述,产生的输出为观测值序列[7]。一个DHMM可以由下列参数进行定义:
(1)N:模型中Markov链的状态数目。记N个状态为θ
1,θ
2,
⋯,θ
N,记t时刻Markov链所处的状态为q,显然q∈(θ
1,θ
2,⋯,θ
N)。
(2)M:每个状态对应的可能的观测值数目。记M个观测值为v1,v2,⋯,vM,记t时刻的观测值为o1,其中o1∈(v1,v2,⋯,vM)。
(3)π:初始概率分布矢量,π=(π1,π2,⋯,πN),其中πi=P(qi=θi),1≤i≤N。
(4)A:状态转移概率矩阵,A=(aij)N×N,其中,aij=P(q
i+1=θj|qt=θi),1≤i,j≤N。
(5)B:观测值概率矩阵,B=(b
jk)
N×M,其中b
jk=P(θ
t=v
k|q
t=θ
j),1≤j≤N,1≤k≤M。记一个DHMM为:λ=(N,M,π,A,B)。
A、HMM模型训练
隐马尔可夫模型训练的目的是建立模型的参数,即从一组训练样本中确定转移概率。到目前为止,还没有能够根据训练样本确定最优参数集合的方法,本文采用前向2后向算法(forwardbackwar dalgorithm)。
训练之前,首先对模型参数进行初始化设置,π和A在遵循归一化条件下随机化选取;参数B对系统的影响非常大,如果随机选取不当,不仅会大幅度增加训练时间,也会降低最后识别的正确率,本文根据矢量量化的码本初始化B。
定义a
i(t)为使系统在t时刻位于状态ω
i,并且已产生了到t时刻为止的目标序列的概率;定义β
i(t)为在t时刻位于状态ω
i,并且将产生t时刻之后的目标序列(时间范围为t+1→T)的概率:
定义从状态ωi(t-1)转移到状态ωj(t)的概率γij(t)

其中P(V
T|θ)是模型用任意的隐状态路径产生序列V
T的概率。

这样,可以使用任意的关于a
ij和b
ij的估计,根据公式(7)和公式(8)进行逐步的修正,直到达到收敛为止。
为了增加HMM故障诊断系统的稳健性和提高故障诊断系统的准确率,本文选取多个样本进行训练,以建立阀门故障状态和正常状态的参数模型。本文针对阀门泄漏故障状态和正常状态,各选取若干样本进行训练,建立故障状态的HMM模型库和正常状态的HMM模型库。
B、模式识别
训练完成之后将模型参数存储,此时,系统就具备了诊断的能力,即根据给定的HMM和它所产生的观测序列,决定最有可能产生这个可见观测序列的隐状态序列。诊断过程中,输入待检测阀门音频信号,经过预处理、特征参数提取和矢量量化后,得到观察值序列,然后,快速有效地计算出观察值序列在各HMM模型下的输出概率。通常情况下,概率最大的模型即为识别结果。
4、结果处理
由于原油中含有大量的泥沙等杂质,在阀门关闭过程中,可能会有泥沙附着在阀门上导致阀门关闭不严等情况,从而产生类似阀门损坏泄露的声音,而下一次输送材料进入的时候,这些附着在阀门上的泥沙等杂质可能被冲走,从而使得阀门恢复正常工作。因此本系统对于单独的一次异常不做报警处理,如果连续的五个工作周期中有三次以上的异常发生,系统才判定是阀门泄漏异常,产生报警。这样既保证了系统的灵敏度,又保证了系统识别异常的准确性。
二、实验结果
本系统的特征参数提取、HMM模型训练和模式识别部分是在MATLAB7.1下完成的,采样频率为11025Hz,采样大小为16bit,数据帧长256,帧移128,通过特征提取,将每帧信号都转换为12维MFCC的特征矢量,作为观测序列。各选泄漏和正常状态下的20个样本用于识别测试,实验结果如表1所示,总识别率为87.5%,结果较为理想。
表1 实验结果
三、结论
本系统根据声学原理使用声音传感器对多输油通道的阀门泄漏进行检测。对声音传感器采集到的声音信号进行预加重、加窗等预处理,提取出音频信号的MFCC特征参数组成观测序列,并利用隐马尔可夫模型对观测序列进行建模,建立故障状态HMM模型库和正常状态HMM模型库。根据建立的HMM模型库对输入的待检测信号进行状态识别。试验结果表明,模型对阀门的工作状态的平均识别率为87.5%,再辅以系统的识别结果后期处理,可以使系统的识别率提高到90%以上,能有效地识别阀门泄漏故障,该项成果研究具有良好的应用前景。
参考资料
戴光,王新颖,张颖.承压阀门内漏声学检测方法 [J].大庆石油学院学报,2003,27(3):70-73.
王让定,柴佩琪.语音倒谱特征的研究[J].计算机工程,2003,29(13):31-33.
刘河生,高小榕,杨福生.隐马尔可夫模型的原理与实现[J].国外医学生物医学工程分册,2002,25(6):253-259.
王新民.一种改进的隐马尔可夫模型训练算法[J].孝感学院学报,2004,24(3):74-77.
张艾萍,暴丽.基于声发射技术的阀门严密性检验[J].新技术新工艺,2002,7(7):19220.
YUK Y C,ERIC H C.Application of vector quantization for content based music retrieval system[J]
WSEAS Transactions on Computers,2007,6(5):793-798.
石志国,薛为民,王志良.隐马尔可夫模型实现复杂数据挖掘[J].电脑开发与应用,2006,16(4):1523-1528.
BENZ A E G.Use of acoustic emission techniques for detection of discontinuities[J]
Materials evaluation,1998,56(10):1215-1222.