调节阀的流量系数Kv值是调节阀的重要参数,它反映通过调节阀流体的能力,也就是容量。根据流量系数Kv值的计算就可以确定调节阀选择的口径。因此,为了正确选择的口径,就必须正确计算出的额定流量系数Kv值。
表示调节阀流量系数的符号有Cv、Kv等,它们运算单位不同,定义也有不同。
Cv-英制单位的流量系数,其定义为:温度60℃F(15.6℃)的水,在IIb/in7kpa压降下,每分钟流过调节阀的美加仑数。
Kv-国际单位制(SI制)的流量系数,其定义为:温度5-40℃的水,在100KPa(0.1MPa)压降下,1小时流过调节阀的立方米数。
注:Cv、Kv之间的关系为Cv=1.17Kv,
液体的Kv计算
计算公式:Kv = 10 QL
(1)
式中: QL ——液体最大流量 m3/h
——液体密度g/c m3
P1 —— 阀前压力(绝对压力) kpa
P2 —— 阀后压力(绝对压力) kpa
注意:1、 P1和P2为最大流量时的压力
*注:上述公式只适用于流体流动呈紊流状态,或雷诺数大的场合。流体接近层流或雷诺数小的场合,上述公式必须进行粘度修正。粘度修正要按粘度修正曲线(雷诺数R的实测系数数值)进行修正。
粘度修正
如果液体粘度大于100SSU(塞波特秒)或20CST(厘斯),需计算系数R再查出Cv修正系数来乘以原来的Cv.。

具体操作步聚如下:
1、不考虑粘度影响,用公式(1)求出Cv或Kv。
2、用公式(A)或(B),求出系数R。
3、从粘度修正曲线上,求出系数R相对应的Cv的修正系数。
4、用这个修正系数乘以第一步求出的Cv。
5、然后跟椐Cv值选择合适的调节阀。
系数R的计算公式:
( A )
( B)
式中: Q—— 最大流量 m3/h
Mcs——进口温度下液体运动粘度系数cst
Cv——未修正的Cv
Kv——未修正的Kv
Mssu——进口温度下液体粘度SSU(塞波特秒)
备注:液体粘度≥200SSU,使用公式(A)计算,粘度<200SSU,请把SSU粘度单位换算成CST粘度单位,再用公式(B)计算。
|
常 用 换 算 单 位 |
|
流量:1m3/h=16.67L/Min (即:1m3/h=4.4GPM) |
|
压力:1Bar=1.02kg/cm2 1Bar=14.5PSI 1MPa=10Bar=145PSI 1kg/cm2约为10M(扬程) |
|
黏度:SSU=CP×4.55/SG CP=CSt×SG SSU=CSt×4.55 SG=介质密度/水密度 mPa.s=CPS (即:1CPS=4.55SSU) 1Pa·S=1000mPa·S |
|
功率:1HP=0.75KW |
|
温度:℃=(°F-32)/1.8 |
|
重量:1Lb=0.4536kg 1kg=2.17Lbs |
|
长度:l inch=25.4mm 1 foot=12inchs=0.3048m 1m3=35.2ft3 |
|
体积:1gallon=3.87L=3870cm3 |
|
密度:水=1000kg/m3 SG=介质密度/水密度 1大气压=14.7PSI=33.8feet水=760mmHg |
闪蒸修正(临界压差法)
当饱和温度或接近饱和温度的液体在流经调节阀节流口时,由于流速加快、液体压力下降,导致液体内部会产生瞬间快速蒸发(即液体会产生大量蒸气)。在这种情况小,仍然采用原液体流动的基本定律(公式)计算就不正确了,因此,必须进行流量系数的(压差)修正。
修正方法如下:
当 △Pc<△P 必须进行(计算压差)修正
式中: △T<2.8℃(5℉) △Pc =0.06 P1 (4)
△T>2.8℃(5℉) △Pc =0.9(P1-Ps) (5)
△T——在进口压力下的液体饱和温度与进口温度之差
△Pc——计算流量用的允许压差 100kpa(kgf/cm2) abs
△P——阀阀前后两端实际压差 100kpa(kgf/cm2) abs
Ps——进口温度下液体的绝对饱和压力100kpa(kgf/cm2) abs
只有当公式(4)或(5)计算出的△Pc小于调节阀上的实际压差△P时,公式(1)或(1′)必须用△Pc,而不准用△P。
除水以外的其它闪蒸液体
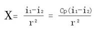
对于水以外的其它液体,虽然也可以像水一样采用“临界压差法”或“液体气体混和比重法”等,但这两种方法必须已知液体的饱和压力或临界压力数据。目前,仅局限于已知饱和压力或临界压力的几种液体才采用这两种方法计算,其它液体一般不用这两种方法。一般的计算方法是求出闪蒸的比率,然后分别计算出液体和气体的Kv值,它们的之和作为计算结果。
闪蒸的比率: 
式中: i1 ——进口(T1)下的焓(Kcal/Kg)
i2 ——出口压力P2的饱和温度(T2)焓(Kcal/Kg)
r2 ——出口压力P2的饱和温度(T2)潜热(Kcal/Kg)
Cp ——
的液体比热(Kcal/Kg)
