前文中我们已经分别讲述了液体流量系数Kv值计算、气体流量系数Kv值计算,本文将继续为大家讲解水蒸气流量系数Kv值的计算。
a、饱和蒸气流量系数Kv值计算
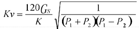
当P2>0.5P1时

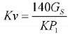
当P2≤0.5P1时

式中:Gs——蒸汽流量kg/h,
P1、P2含及及单位同前,
K——蒸汽修正系数,部分蒸汽的K值如下:
水蒸汽:K=19.4;氨蒸汽:K=25;氟里昂11:K=68.5;甲烷、乙烯蒸气:K=37;丙烷、丙烯蒸汽:K=41.5;丁烷、异丁烷蒸汽:K=43.5
b、过热水蒸气流量系数Kv值计算
当P2>0.5P1时

当P2≤0.5P1时

式中:△t——水蒸气过热度℃,Gs、P1、P2含义及单位同前文。
