小编在上文中已经讲述了调节阀流量系数Kv值的定义,以及液体流量系数Kv值的计算方法,本文将继续探讨调节阀流量系数Kv值的计算方法。
气体流量系数Kv值的计算
a、一般气体流量系数Kv值计算
当P2>0.5P1时

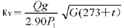
当P2≤0.5P1时

式中:
Qg——标准状态下气体流量Nm3/h
Pm——(P1+P2)/2 (P1、P2为绝对压力)kPa
△P=P1-P2
G=气体比重(空气G=1)
t——气体温度℃
b、高压气体流量系数Kv值计算(PN>10MPa)
当P2>0.5P1时

当P2≤0.5P1时

式中:Z——气体压缩系数,可查GB/T2624-81《流量测量节流装置的设计安装和使用》手册
